編輯:上海亞核閥業成套有限公司
日期:2020-09-04 訪問:3279

WY系列減溫減壓裝置圖僅按閥門的控制方式(角行程或直行程電動執行機構)和選用的安全閥類型(沖量安全裝置或彈簧安全閥)的不同給出十余種系列圖表供戶選用,僅供參考。因為實際根據用戶的不同參數,有可能出現一個以上的安全閥和有或無節流孔板等情況,因此其中的總長L和重量均為參考值。望選型時與我公司聯系索取施工設計圖樣。
低壓減溫減壓裝置系列表


中壓減溫減壓裝置系列表


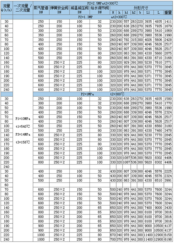
次高壓減溫減壓裝置系列圖



氣控減溫壓裝置系列圖
該裝置是以氣體為動力實現自動控制,將新蒸汽的壓力、溫度降低到用戶所需要的參數。特別適用要求嚴格防火的工況環境。其系統組成和工作原理與電控減溫減壓裝置相同,只是減溫減壓閥和給水調節閥的控制為氣動薄膜式執行器。該執行器裝有閥門定位器,把調節器輸出的電信號轉換成驅動閥門動作的氣信號,帶動閥芯移動與輸入信號相對一應,動作快、靈敏度高。
氣動執行器:多彈簧式薄膜執行機構 (用戶可自定)
閥門定位器:電一氣閥門定位器
輸入信號: 4-20Am
輸入阻抗: 250Q
供氣壓力: 0.4~0.7MPa
環境溫度: -20~60℃
負壓減溫減壓裝置
該裝置可將一次蒸汽的正壓力值通過減溫減壓后減至負壓值,特別適用于低真空設備用汽的供應。該裝置配智能型執行器后可直接入DCS控制系統。也可配我公司生產的自控制柜實現就地控制調節和操作,調節精度高,響應動作快,靈敏度高。
熱力換相減溫減壓裝置
該裝置用于將一次蒸汽以較高的壓降通過噴咀產生高速汽流與低于出口參數的蒸汽混合,再經過擴壓管升壓,而達到出口所需的壓力和溫度。
本裝置為節能型產品,利用了廢棄的低溫低壓蒸汽代替普通減壓裝置的給水系統和水泵等,使設備大大簡化,減少了占用場地和項目投資;使用時最好一次蒸汽和低壓蒸汽進口分別裝設流量調節閥。
本裝置為我公司研制開發的新產品,經用戶使用達到了滿意效果,取得了較好的經濟效益,歡迎用戶前來洽淡訂貨,本公司可根據提供的參數和要求進行設計和制造。
上海亞核閥業成套有限公司 |
|||||||||||||||||||||
|
|||||||||||||||||||||
|
||||||||||||||